- Diberikan

Nilai (f o f o f o f)(4) adalah ….
(A) 175
(B) 174
(C) 173
(D) 172
(E) 171
- Dari huruf-huruf penyusun kata SBMPTN akan disusun sehingga mendapatkan kata dengan syarat huruf P,T, dan N selalu berdampingan.
Banyak kata yang dapat disusun ada sebanyak ….
(A) 90
(B) 112
(C) 144
(D) 180
(E) 240
- Untuk
…
(A) x – 5
(B) x + 1
(C) 5 – x
(D) -x – 5
(E) x – 1 - Sepuluh bilangan, yaitu 7, 1, 3, 5, 2, 5, 1, 4, 6, dan 9 diurutkan dari yang terkecil hingga terbesar. Jika t dan v berturut-turut merepresentasikan bilangan pada posisi ke-3 dan ke-8 setelah diurutkan, nilai t + (2 x v) sama dengan …
(A) 18
(B) 17
(C) 16
(D) 14
(E) 12
- Perhatikan gambar di bawah …

(A)
(B)
(C)
(D)
(E)
- Segitiga PQR dan STU sebangun.

Luas segitiga STU adalah
(A) 12
(B) 8
(C) 6
(D) 3
(E) 2
- Segitiga PQR dan STU sebangun.

Jika (a,b) adalah koordinat titik U, nilai a+b adalah ….
(A) 2
(B) 3
(C) 4
(D) 5
(E) 6
- Fira, Diva dan Alin bersama-sama dapat menyelesaikan suatu pekerjaan dalam waktu 2 jam. Jika Fira bekerja tiga kali lebih cepat dari Alin dan Diva beverja dua kali lebih cepat dari Alin, maka waktu yang dibutuhkan Diva untuk menyelesaikan pekerjaan seorang diri adalah ….
(A) 12 jam
(B) 8 jam
(C) 6 jam
(D) 4 jam
(E) 2 jam
- Misalkan p, q, dan r merupakan bilangan bulat positif berbeda yang memenuhi pqr = 10. Nilai terkecil untuk (p+r)q adalah ….
(A) 243
(B) 49
(C) 7
(D) 5
(E) 2
- Jika
dan
, maka
= ….
(A)
(B)
(C)
(D)
(E)
- Perhatikan gambar berikut.

Dari gambar di atas, manakah pernyataan benar tentang x, y, z ?
(A) x < z < y
(B) z < x < y
(C) x < y < z
(D) z < y < x
(E) y < x < z
- Diketahui matriks A =
. Jika matriks A adalah matriks singular, maka nilai x adalah….
(A) -3
(B) -2
(C) -1
(D) 0
(E) 1
- Jika barisan (k+3), (4k-7), (3k+3) merupakan tiga suku barisan aritmetika berurutan, maka nilai 2k+2 adalah ….
(A) 5
(B) 7
(C) 10
(D) 12
(E) 15 - Titik D(3, -4) terletak di dalam lingkaran (x – 6)2 + (y -1)2 = r2. Nilai r yang mungkin
(1) 5
(2) 4
(3) 6
(4) 7
Berdasarkan informasi di atas, banyak jawaban BENAR ada sebanyak ….
(A) 0
(B) 1
(C) 2
(D) 3
(E) 4 - Diantara pilihan berikut, yang merupakan faktor persekutuan dari (312 – 292) dan (312 – 12) adalah ….
(1) 16
(2) 20
(3) 28
(4) 60
(A) (1), (2) dan (3) SAJA yang benar
(B) (1) dan (3) SAJA yang benar
(C) (2) dan (4) SAJA yang benar
(D) HANYA (4) yang benar
(E) SEMUA pilihan benar
- Diberikan kumpulan data 3, 5, 7, a.
Berapakah banyaknya dari empat pernyataan berikut yang bernilai benar berdasarkan informasi di atas ?
(1) Rata-rata kumpulan data tersebut 6 bila a = 9
(2) Median kumpulan data tersebut 5 bila a = 7
(3) Jangkauan kumpulan data tersebut 4 bila a = 6
(4) Modus kumpulan data tersebut 3 bila a = 5
(A) (1), (2) dan (3) SAJA yang benar
(B) (1) dan (3) SAJA yang benar
(C) (2) dan (4) SAJA yang benar
(D) HANYA (4) yang benar
(E) SEMUA pilihan benar
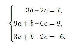
- Sistem persamaan linear dalam a, b dan c yaitu

Mempunyai solusi a = x, b = y, dan c = z
Berdasarkan informasi yang di berikan, manakah hubungan yang benar antara kuantitas P dan Q ?
(A) P > Q
(B) P < Q
(C) P = Q
(D) Tidak dapat ditentukan hubungan antara kuantitas P dan Q
- Diketahui m = 35(315)5 dan n = 210(211)10
Manakah hubungan yang benar antara kuantitas P dan Q ?
(A) P > Q
(B) P < Q
(C) P = Q
(D) Tidak dapat ditentukan hubungan antara kuantitas P dan Q
- Misalkan (x, y) menyatakan koordinat suatu titik P pada bidang-xy. Apakah P berada di kuadran IV?
Putuskan apakah pernyataan (1) dan (2) berikut cukup untuk menjawab pertanyaan tersebut.
(1) x + y = 10
(2) x – y = 10
(A) Pernyataan (1) SAJA cukup untuk menjawab pertanyaan,
tetapi pernyataan (2) SAJA tidak cukup
(B) Pernyataan (2) SAJA cukup untuk menjawab pertanyaan,
tetapi pernyataan (1) SAJA tidak cukup
(C) DUA pernyataan BERSAMA-SAMA cukup untuk
menjawab pertanyaan, tetapi SATU saja tidak cukup
(D) Pernyataan (1) SAJA cukup untuk menjawab pertanyaan
dan pernyataan (2) SAJA cukup
(E) Pernyataan (1) dan pernyataan (2) tidak cukup
untuk menjawab pertanyaan
- Perhatikan gambar di bawah ini

Jika BD = CD, berapakah panjang CD?
Putuskan apakah pernyataan (1) dan (2) berikut cukup untuk menjawab pertanyaan tersebut.
(1) BC = 2 cm
(2) AB = 3 cm
(A) Pernyataan (1) SAJA cukup untuk menjawab pertanyaan,
tetapi pernyataan (2) SAJA tidak cukup
(B) Pernyataan (2) SAJA cukup untuk menjawab pertanyaan,
tetapi pernyataan (1) SAJA tidak cukup
(C) DUA pernyataan BERSAMA-SAMA cukup untuk
menjawab pertanyaan, tetapi SATU saja tidak cukup
(D) Pernyataan (1) SAJA cukup untuk menjawab pertanyaan
dan pernyataan (2) SAJA cukup
(E) Pernyataan (1) dan pernyataan (2) tidak cukup
untuk menjawab pertanyaan
Persiapan UTBK SNBT Menuju PTN Impian
anloneducation.com